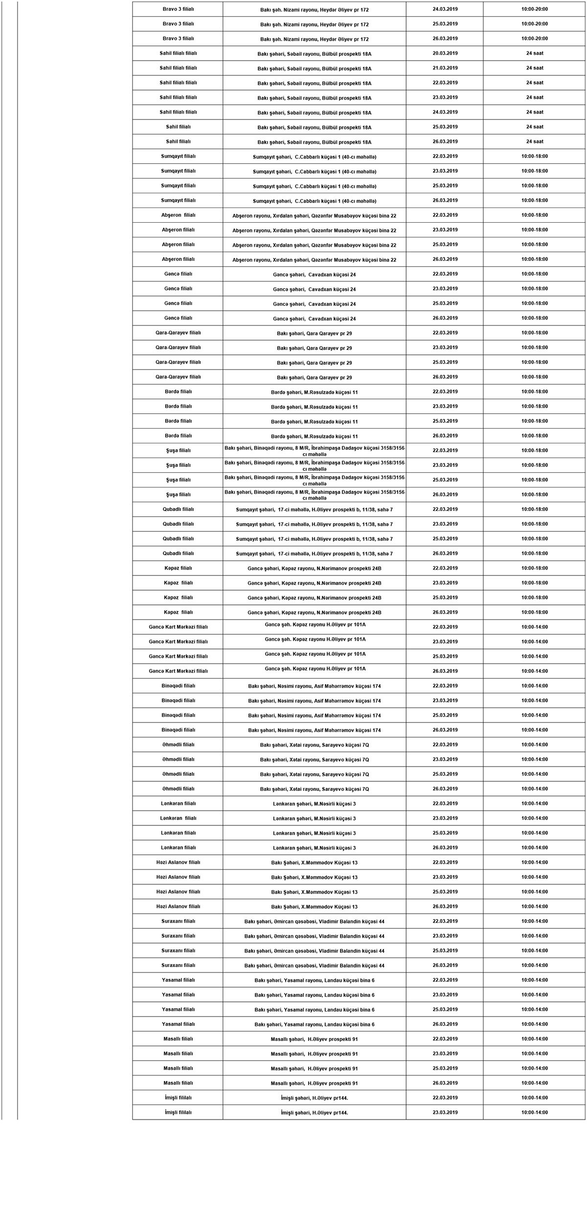
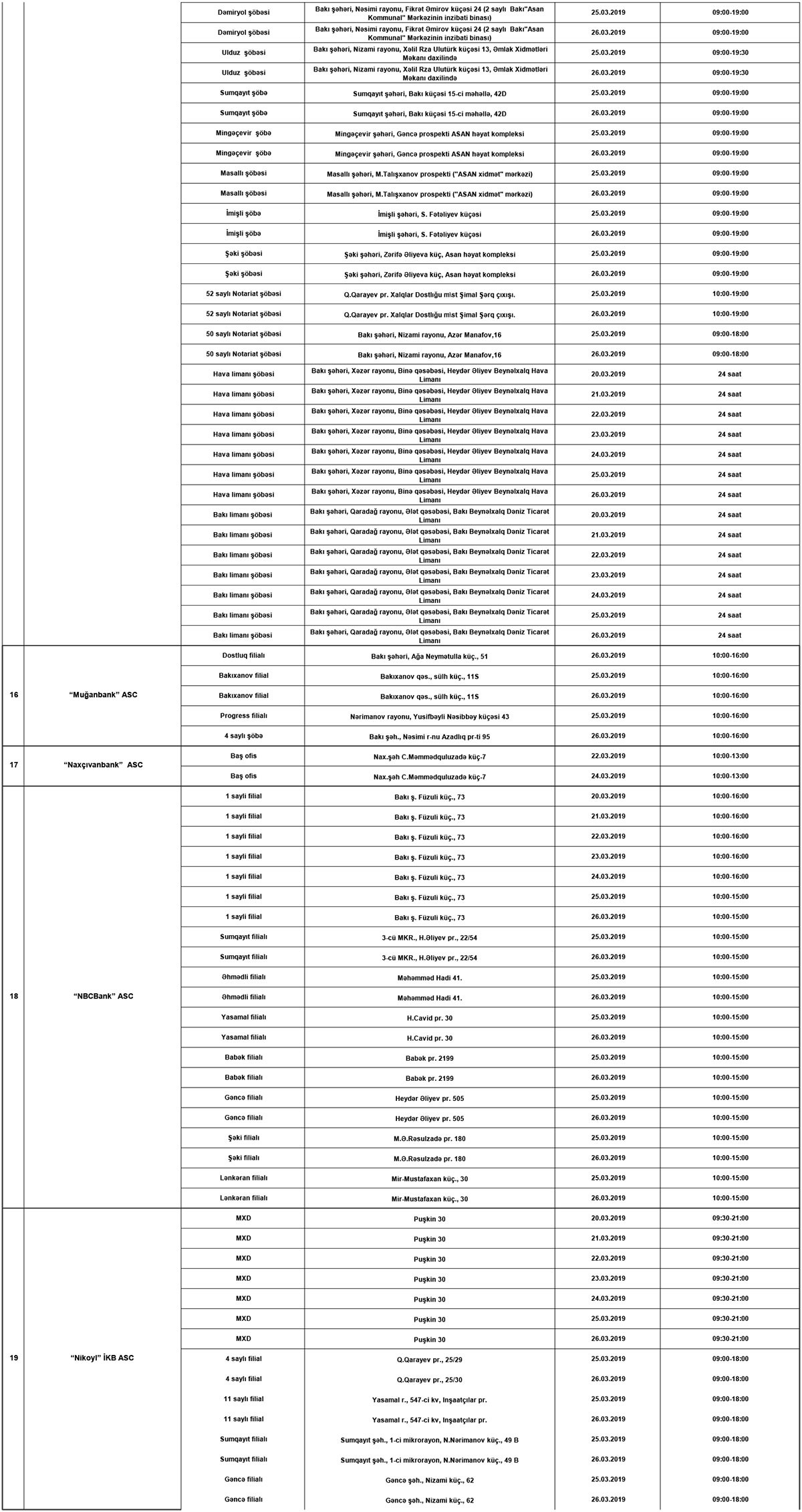
24 bankın 152 filial və şöbəsi gücləndirilmiş iş rejimində çalışacaq - SİYAHI
Ölkə əhalisinin və çoxsaylı turistlərin Novruz bayramı ilə əlaqədar qeyri-iş günləri ərzində bank xidmətlərindən rahat faydalanmasının təmin edilməsi məqsədilə 24 bankın 152 filial və şöbəsi gücləndirilmiş iş rejimində çalışacaq.
Bu barədə "Marja" Maliyyə Bazarlarına Nəzarət Palatasından bildirilib.
Bayram günləri ərzində ölkəmizə əhəmiyyətli turist axınının olacağını nəzərə alaraq onların valyuta mübadiləsi əməliyyatlarını rahat həyata keçirə bilmələri üçün Maliyyə Bazarlarına Nəzarət Palatası paytaxtda və əsas turizm bölgələrində yerləşən bankların filial və şöbələrinə gücləndirilmiş iş rejimində çalışmağı tövsiyə edib.
5 bankın Sumqayıt, Xırdalan, Gəncə, Lənkəran, Şəki, Xaçmaz, Quba, Bərdə, Naxçıvan və digər şəhərlərdə yerləşən 46 filial və şöbəsi müştərilərə xidmət göstərəcək.
Bakıda yerləşən 8 bankın 13 filial və şöbəsi 24/7 rejimində fəaliyyət göstərəcək.
Bundan əlavə, bayram günlərində Palatanın əməkdaşlarından ibarət xüsusi monitorinq qrupu fəaliyyət göstərəcək. Yarana biləcək hər hansı bir problemlə bağlı maliyyə xidmətləri istehlakçıları Palatada yaradılmış qaynar xəttə müraciət edə bilərlər:
Koordinator:
Azər Quluyev
Tel: 493-50-58 (dax:357);
Mob: +994 70 908 62 21
Mail: [email protected]
20-26 mart tarixlərində çalışacaq bank filial və şöbələrinin siyahısı və ünvanları
Müştərilərin xəbərləri
SON XƏBƏRLƏR
- 2 ay sonra
- 3 həftə sonra
-
3 saat əvvəl
Fitch-dən qlobal təklif artıqlığı fonunda Venezuela-İran neft analizi
-
-
3 saat əvvəl
“Bu qiymətlərə qızıl almaram” - Məşhur investordan qızıl ilə bağlı açıqlama
- 4 saat əvvəl
- 4 saat əvvəl
- 4 saat əvvəl
- 4 saat əvvəl
-
5 saat əvvəl
Yanvarın 18-də gözlənilən hava proqnozu - Temperatur gecə 0 dərəcəyə düşəcək
-
5 saat əvvəl
2026-da InvestAZ hesabını artırın, xərclərdən 100%-dək azad olun
- 6 saat əvvəl
- 7 saat əvvəl
Son Xəbərlər
Azərbaycanda Vakansiyalar - Azvak.az
2026-cı ildən sıfır xərclə ticarətə başlayın
Fransız fermerlərin etiraz aksiyaları davam edir
Azər Türk Bankın maliyyə vəziyyəti məlum olub
Ən çox oxunanlar
2026-da InvestAZ hesabını artırın, xərclərdən 100%-dək azad olun
"Azərbaycan və Türkiyə ilə münasibətlərinin normallaşması Ermənistanın iqtisadi perspektivlərini yaxşılaşdıracaq"
Əmək qanunvericiliyində yeniliklər nələrdir?
Azərbaycan neftinin son qiyməti
Dövlətə məxsus xidmət və yeyinti sənaye sahələri üzrə səhmdar cəmiyyətləri özəlləşdirilir - ADLARI
Dekabrda Azərbaycanda sabit genişzolaqlı internetin sürəti 3%-dən çox, mobil internetin sürəti isə 6%-dək artıb
Bakcell və Gənclər Fondu “İnnovasiya və Süni İntellekt” üzrə təqaüd proqramını elan edir
Mənzil axtaranların diqqətinə: Yasamalda büdcəyə uyğun, tam təmirli mənzillər satışda























