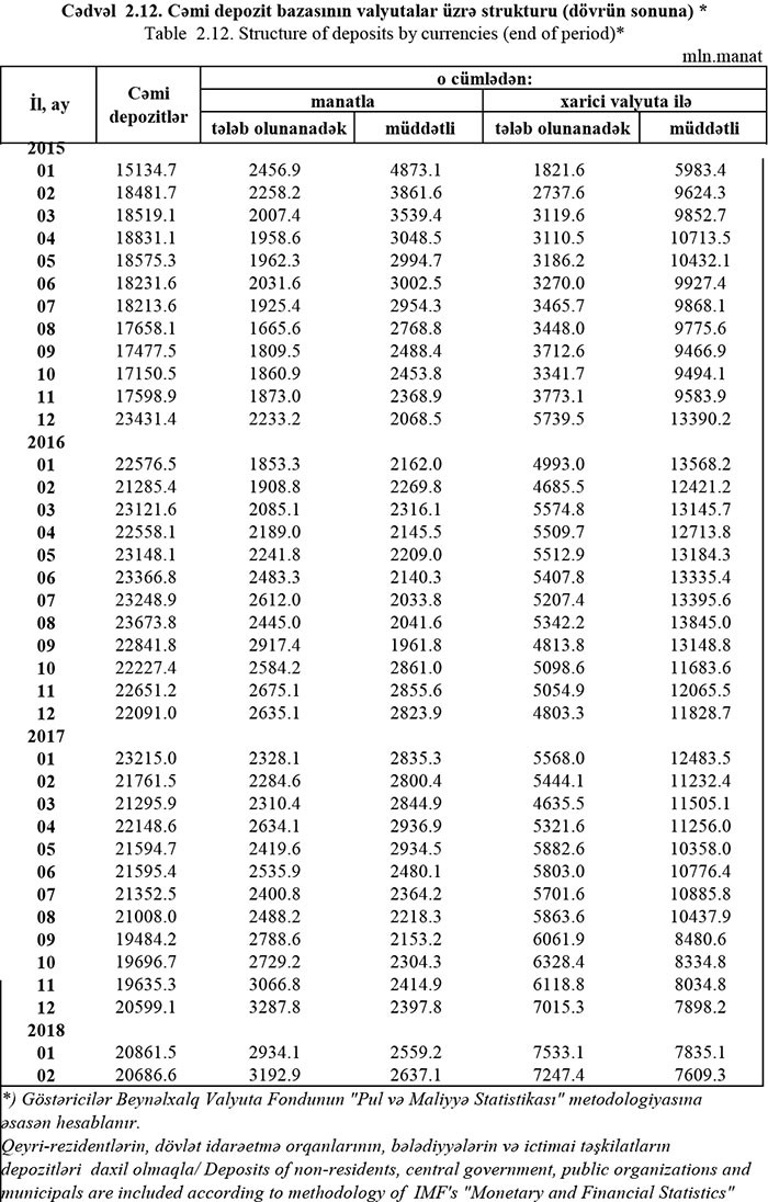
Depozitlərdə dollarlaşma aşağı düşür
2018-ci ilin Fevral ayının sonuna banklarda cəmi depozitlər 20 milyard 686.6 milyon manat təşkil edib.
"Marja" Mərkəzi Bankın statistikasına istinadən xəbər verir ki, depozitərin 5 milyard 830 milyon manatı və ya 28,2%-i milli valyutada, 14 milyard 856,7 milyon manatı və ya 71,8%-i xarici valyutada olub.
Yanvar ayında bu nisbətlər müvafiq olaraq 26,3% və 73,7% təşkil etmişdi.
Müştərilərin xəbərləri
SON XƏBƏRLƏR
- 2 ay sonra
- 3 həftə sonra
-
7 saat əvvəl
Azərbaycan “Vestas Wind Systems” şirkətilə əməkdaşlıq məsələlərini müzakirə edib
-
-
7 saat əvvəl
Prezident İlham Əliyev “DP World” şirkətinin direktoru ilə görüşüb
-
7 saat əvvəl
Prezident İlham Əliyev Braziliyanın “BTG Pactual” şirkətinin sədri ilə görüşüb
-
11 saat əvvəl
Azərbaycan Çin şirkətlərilə alüminium istehsalı üzrə birgə layihələri müzakirə etdi
- 12 saat əvvəl
-
12 saat əvvəl
İnternetin yüksək, orta və aşağı sürətdə olduğu provayderlər - SİYAHI
-
12 saat əvvəl
Azərbaycanın avtomobil istehsalı sektoru 2025-ci ili tənəzzül ilə başa vurub
- 13 saat əvvəl
- 13 saat əvvəl
-
13 saat əvvəl
Azərbaycanda sement istehsalı cüzi artıb - Tikinti materiallarının istehsalı azalıb
Son Xəbərlər
Azərbaycanda Vakansiyalar - Azvak.az
2026-cı ildən sıfır xərclə ticarətə başlayın
Prezident İlham Əliyev “DP World” şirkətinin direktoru ilə görüşüb
Azərbaycan Çin şirkətlərilə alüminium istehsalı üzrə birgə layihələri müzakirə etdi
Ən çox oxunanlar
Azərbaycanda broyler toyuğu necə yetişdirilır?
Bakıda 3 dərəcə şaxta olacaq
Azərbaycanda sement istehsalı cüzi artıb - Tikinti materiallarının istehsalı azalıb
İlham Əliyev İsveçrədə səfərdədir
Azərbaycanda doğum azalıb, ölüm artıb



























