Azərbaycanın mebel şirkətinin satışı kəskin artıb, 102 milyon manatdan çox gəlir əldə edib
1996-cı ildə əsası qoyulmuş və mebellərin istehsalı ilə məşğul olan "Embawood" şirkəti 2024-cü ili 2 milyon 281 min manat xalis mənfəət ilə başa vurub. Halbuki, Şirkət 2023-cü ili 434 min manat xalis mənfəət ilə bağlamışdı. Beləliklə, "Embawood" şirkətinin xalis mənfəəti 2024-cü ildə 2023-cü illə müqayisədə 1 milyon 847 min manat və ya 5,2 dəfə artıb.
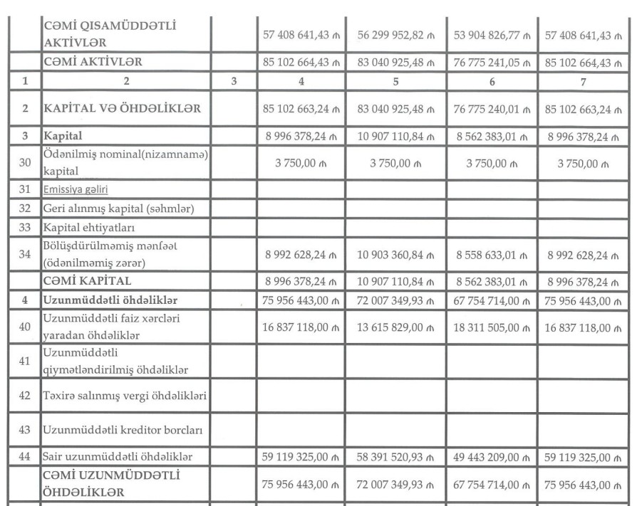
Marja.az xəbər verir ki, "Embawood" şirkətinin satışdan gəlirləri 2023-cü ildə 59 milyon 726 min manat ikən, 2024-cü ildə 102 milyon 430 min manata yüksəlib (42 milyon 704 min manat və ya 71,5% artıb).
2024-cü ildə "Embawood" şirkətinin cəmi əməliyyat gəlirləri 102 milyon 436 min manat cəmi əməliyyat xərcləri 99 milyon 585 min manat, əməliyyat mənəəti 2 milyon 851 min manat təşkil edib. Şirkət 2024-cü ildə 570 min manat mənfəət vergisi ödəyib.
31 dekabr 2024-cü il tarixində "Embawood" şirkəti 83 milyon 41 min manat cəmi aktivlərə malik olub. Şirkət 2023-cü ilin sonunda 85 milyon 102 min manat cəmi aktivlərə malik idi.
Müştərilərin xəbərləri
İnvestorlara milyonlarla manat borcu olan “FINCA Azerbaijan”ın bir sıra maliyyə göstəriciləri pisləşib
SON XƏBƏRLƏR
- 1 ay sonra
- 2 həftə sonra
- 17 saat sonra
-
-
13 d. əvvəl
"Kristal"ın bütün satış ofisləri bayram günlərində də açıq olacaq!
- 1 saat əvvəl
-
2 saat əvvəl
Bayram günlərində bankların və “Azərpoçt”un bəzi filial və şöbələri fəaliyyət göstərəcək -SİYAHI
-
2 saat əvvəl
"KazMunayQaz-Aero" Şımkent hava limanında AZAL təyyarələrini yanacaqla təmin edəcək
-
3 saat əvvəl
"Ötən il BOKT “İnternational” bazardakı mövqeyini daha da möhkəmləndirib" - MÜSAHİBƏ
- 3 saat əvvəl
-
3 saat əvvəl
Qarabağdakı torpaqların sahibkarlara icarəyə verilməsi üzrə 4-cü investisiya müsabiqəsi elan olundu
-
4 saat əvvəl
“İnno Kapital”ın xalis mənfəəti 2,2 dəfə artıb – MALİYYƏ GÖSTƏRİCİLƏRİNİ AÇIQLADI
-
4 saat əvvəl
İri bankın Gəncə filialı yenilənmiş binasında xidmətə başlayıb
Son Xəbərlər
Azvak.az-da yeni iş elanları
55 manatdan bank səhmdarı olmaq fürsəti: SON 18 GÜN
Bank sərfəli şərtlərlə əmanət qəbuluna davam edir
"Kristal"ın bütün satış ofisləri bayram günlərində də açıq olacaq!
Bayram günlərində bankların və “Azərpoçt”un bəzi filial və şöbələri fəaliyyət göstərəcək -SİYAHI
Mayın 27-nin hava proqnozu - 30 dərəcəyədək isti olacaq
Qarabağdakı torpaqların sahibkarlara icarəyə verilməsi üzrə 4-cü investisiya müsabiqəsi elan olundu
İri bankın Gəncə filialı yenilənmiş binasında xidmətə başlayıb
SİMA rəqəmsal imza Birbank-da!
Azərbaycanın tanınmış şirkəti "SR Construction" fəaliyyətini “SR Development” adı ilə davam etdirəcək
"Azpulmat"da böyük geriləmələr - BOKT kiçilib, gəlirləri və xalis mənfəəti kəskin düşüb
Broyler şirkətinin xalis zərəri təxminən 2 dəfə artıb
Broyler şirkətinin xalis mənfəəti 24% artıb






.jpg)
.jpg)









.jpg)






